Задан массив целых чисел.
Создайте из них Бинарное Дерево Поиска. Если вставляемое значение равно текущей
вершине, то его следует вставлять в правое поддерево.
Реализуйте метод Sum, который возвращает сумму чисел во
всех вершинах дерева.

Напишите код согласно следующего
интерфейса:
class TreeNode
{
public:
int val;
TreeNode *left;
TreeNode *right;
TreeNode(int
x) : val(x), left(NULL), right(NULL) {}
};
class Tree
{
public:
TreeNode *head;
Tree() : head(NULL) {};
void Insert(int val); // Вставка числа val в Бинарное Дерево Поиска
int Sum(void); // Вернуть сумму чисел во всех вершинах дерева
};
Вы можете создавать
(использовать) по необходимости дополнительные методы.
Вход. Первая
строка содержит число n (1 ≤ n ≤ 100). Вторая строка содержит n целых чисел.
Выход. Создайте Бинарное Дерево Поиска
из входных данных. Выведите сумму чисел во всех вершинах дерева.
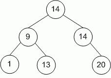
Пример входа
6
14 9 1 14 20 13
Пример выхода
71
РЕШЕНИЕ
дерево
Сумму чисел Sum
в дереве tree находим рекурсивно:
·
если tree = NULL, то Sum = 0;
·
иначе Sum = Sum(tree->left) + Sum(tree->right) + tree->val;
Объявим рабочие структуры данных.
class TreeNode
{
public:
int val;
TreeNode *left;
TreeNode *right;
TreeNode(int
x) : val(x), left(NULL), right(NULL) {}
};
class Tree
{
public:
TreeNode *head;
Tree() : head(NULL) {};
void Insert(int val)
{
Insert(head,val);
}
void
Insert(TreeNode *&tree, int val)
{
if (tree ==
NULL)
{
tree = new
TreeNode(val);
return;
}
if (val
< tree->val)
Insert(tree->left,val);
else
Insert(tree->right,val);
}
int Sum(void)
{
return
Sum(head);
}
int
Sum(TreeNode *tree)
{
if (tree ==
NULL) return 0;
return
Sum(tree->left) + Sum(tree->right) + tree->val;
}
};
Основная часть программы. Читаем входные данные, строим
дерево.
Tree a;
scanf("%d",&n);
for(i = 0; i < n; i++)
{
scanf("%d",&val);
a.Insert(val);
}
Выводим сумму чисел в вершинах дерева.
printf("%d\n",a.Sum());